
宝顺安面罩科学课堂开课了!
一只面罩从设计到生产,再经过佩戴者的使用,经过无数道科学论证。
当我们的生活、工作与一只小小的面罩密不可分时
科学的思考提醒我们
更要关注面罩里的技术科学。
从今天开始,《口罩里的科学》专栏每周更新,让更多人了解小面罩中的大科学。
第一讲:面罩散热性
人体新陈代谢产生的大部分热量是通过呼吸向环境散发出去的,冬天时张开嘴呼出哈气就证明了这一点。一般情况下,人体呼出气体的温度是高于环境空气温度的。
人体正常体温是37度,也就是人体皮肤内表面温度,这个温度在多数情况下都是高于环境温度的,所以,我们的人体时时刻刻都在向环境中散热。
人体面部温度分布图
我们的面罩主要针对可吸入有害颗粒,气密性较好。如果散热较差的话,佩戴者长时间佩戴,面部就会因为面罩腔内囤积的热量而感到闷热难受。
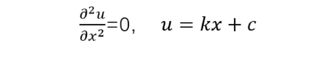
法国人傅里叶于18世纪提出热传导方程,简化到一维情况,得出:
也即是说,在一维情况下,温度值与位置坐标呈线性关系。
导热分析中,可以将人体近似为一个温度为37度的恒定热源,环境空气也可以被近似为一个无穷大的恒温热源,人体时时刻刻在向空气中散发热量。由导热系数的定义可知,同等大小的截面积下,同种材料,通过同样的热量,材料长度越大,材料两端的温度差就越大。
“冬天穿厚,夏天穿薄“是最简单的道理
拿服装举例,可知服装内表面温度接近人体的温度,服装外表面的温度接近环境空气的温度,从而得出结论:服装越厚,通过同等的热量,服装内外表面的温度差越大。
这也是冬天穿得厚,夏天穿得薄的原因。
硅胶面罩不闷热、更舒适
我们的硅胶面罩在设计上采用了保证性能的最小厚度,良好的散热性,让佩戴者在使用过程中不必担心散热不佳而带来的不舒适感,不闷热,更舒适,才能使用者在工作生产中会更好的适应各种工况。
面罩是呼吸健康的盔甲,
千万次的可行性科学实验,是我们为生命健康的承诺。
宝顺安,只为呼吸更健康
